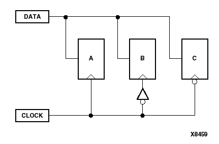
Figure 6.16 Problematic Timegroup Definition